頂博系列
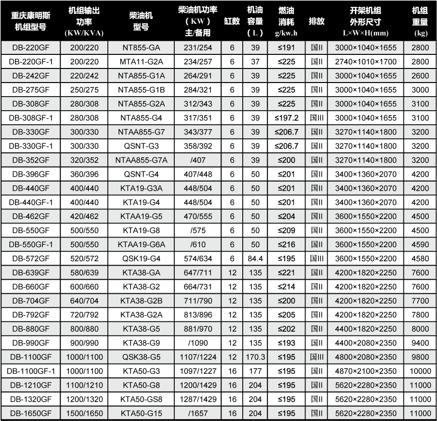
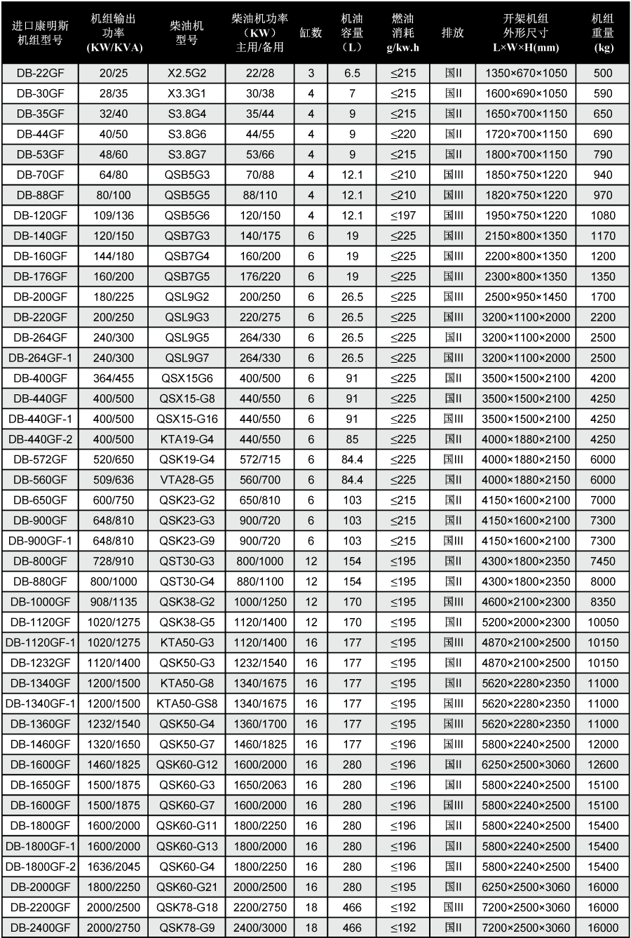
康明斯柴油發電機組分為重慶、東風、進口三個系列,其采用康明斯專利的
PT燃油系統,使發動機在滿足環保排放的同時,具有更高的可靠性、耐久性、動力性和燃油經濟性,產品具有品質優良、低燃油消耗、噪聲低、輸出功率大,性能可靠,具有體積小、重量輕、油耗低、功率高、工作可靠,配件供應及維修方便的特點。
康明斯是全球領先的動力解決方案提供者,產品線包括柴油發動機和代用燃料發動機、發動機關鍵零部件(燃油系統、控制系統、進氣處理、濾清系統和尾氣處理系統)以及發電系統等等。作為中國柴油機行業的外商投資者,康明斯在中國擁有30家機構,包括16家合資企業,員工10,000多名,在華累計投資超過10億美元,分別有東風康明斯柴油發電機組,重慶康明斯柴油發電機組。其中東風康明斯生產B、C和L系列柴油發動機,重慶康明斯生產M、N和K系列柴油發動機。
廣西頂博電力設備制造有限公司擁有現代化生產基地、專業的技術研發團隊、先進的制造技術、完善的質量管理體系、健全的售后服務保障,服務網絡遍布全國,為您提供康明斯柴油發電機組設計、供應、調試、維修全方位服務。



更多產品詳情,歡迎登錄:
http://www.meitaihua.net.cn/cummins.html
版權及免責聲明:
① 凡注明"來源:頂博"的所有文字、圖片信息,版權均屬“廣西頂博電力設備制造有限公司”所有,任何媒體、網站或個人未經本網書面授權可不得轉載、摘編、復制、鏈接、鏡像或以其他任何方式復制、發表。已取得我方書面授權的媒體、網站,在轉載時必須注明"來源:頂博",違者將依法追究法律責任。
② 未注明"來源:頂博"的文/圖等稿件均為轉載稿,本網轉載僅基于傳遞更多信息的目的,并不意味著贊同轉載稿的觀點,文章如果有侵犯版權或違反相關法規,請告知我們立刻刪除!如其他媒體、網站或個人從本網轉載使用,必須保留本網注明的稿件"來源",并自負版權等法律責任。如擅自篡改為"稿件來源:頂博",本網將依法追究法律責任。